A-Level Maths
Binomial expansion I
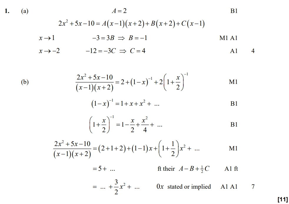
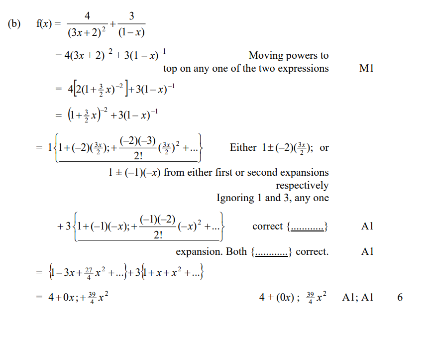
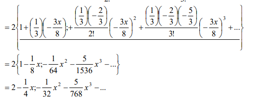
Binomial expansion II
Differentiation Chain Rule
Differentiation Product & Quotient Rule
Differentiation Tangents & Normals
Differentiation Implicit
Integration by parts
Integration by substitution
Parametric equations
Trigonometry
Algebraic fractions
Functions
Sequences and Series
AS Maths
AS past papers
Circles exam practice
Differentiation
Differentiation stationary
Algebraic fractions
Integration
Straight line exam practice
Trig exam practice
Book
0
Instagram
TikTok
🏠
»
A-Level Maths
»
A-Level Maths Pure
»
Binomial expansion II
Binomial expansion II
Your cart
(items: 0)
Products in cart
Product
Details
Total
Available on backorder
Previous price:
Discounted price:
Save
−
+
Remove item
Save
Your cart is currently empty!
Start shopping